計量士
Home
平成30年 第3問 計量士
×
[PR]上記の広告は3ヶ月以上新規記事投稿のないブログに表示されています。新しい記事を書く事で広告が消えます。
2025/11/17 12:11
平成30年 第3問 計量士
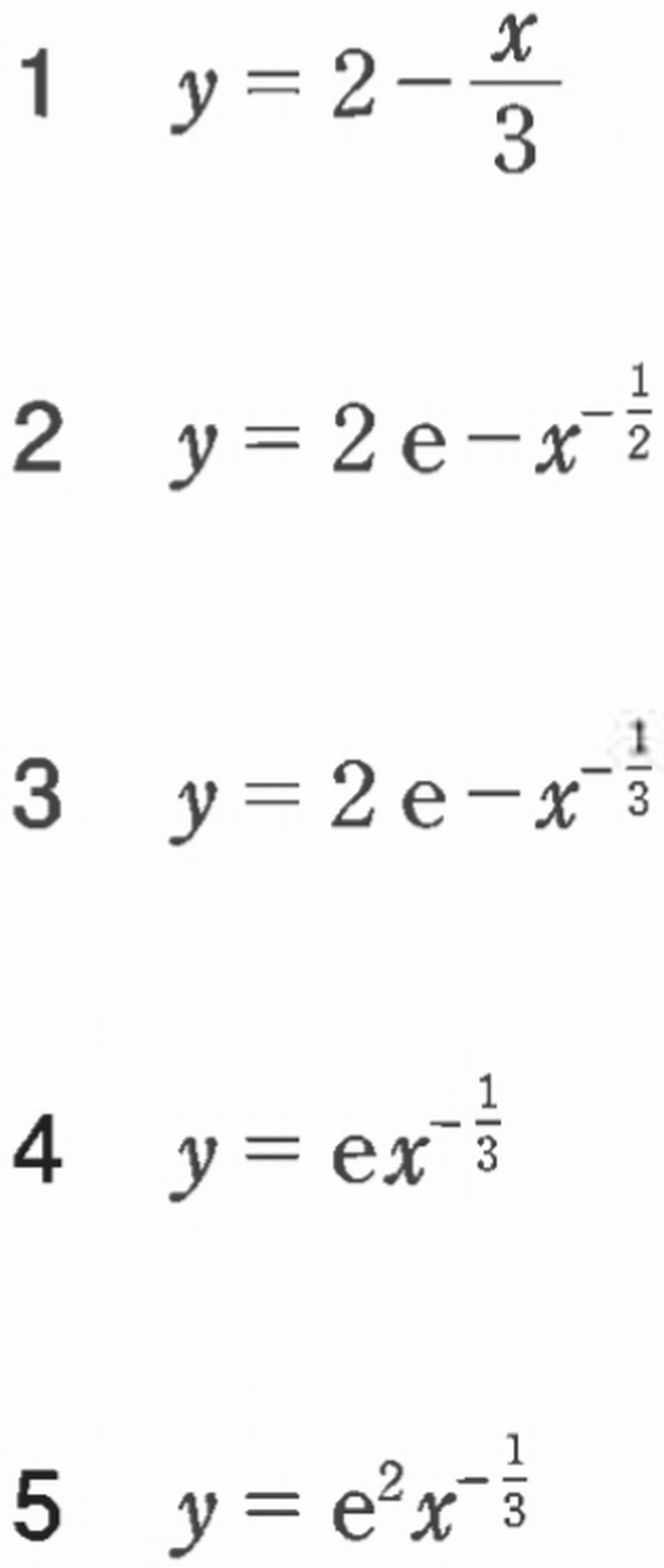
xとyの関係が両対数グラフ上で図のような直線で表されるとき、 その関係式として正しいものを次の中から一つ選べ。 ただし、 logxおよびlogyはそれぞれxおよびyの自然対数であり、 eは自然対数の底である。
資格試験一覧
体験ブログ
無料 競艇予想 本日の競艇レース一覧
PR
未選択
2018/07/13 11:48
0
コメント
お名前
タイトル
メールアドレス
URL
コメント
パスワード
コメント送信
前のページ
Home
次のページ
プロフィール
HN:
No Name Ninja
性別:
非公開
カテゴリー
未選択(20)
最新記事
平成30年 第10問の答え 計量士
(07/13)
平成30年 第10問 計量士
(07/13)
平成30年 第9問の答え 計量士
(07/13)
平成30年 第9問 計量士
(07/13)
平成30年 第8問の答え 計量士
(07/13)
RSS
RSS 0.91
RSS 1.0
RSS 2.0
リンク
管理画面
新しい記事を書く
P R
ページトップ